WATER (goes in Life Support section)
Energy Requirements
:: How much energy required for:
1. Melting
2. Keeping warm as liquid in reservoirs
3. Desalination
4. Shipment (cannot be ascertained without data about energy requirements for shipping in
general)
:: In case of emergency, have enough reserve fuel to produce enough water to keep people alive until relief ship can get there. Water will have its own section in emergency procedures. Backup chemical heaters available for predetermined quantity of water, which is assessed based on number of personnel.
Sources
:: Sources include desalinated seawater, ice mines and reserves. Reserves imported, along with food & fuel. Kept above freezing temperature in heated reservoir structures.
:: Early in program, water almost entirely from imports & ice mines. As capabilities increase, enough energy will be available to desalinate and ship from the coast at competitive quantities.
Infrastructure
:: Melt water from ice during summer when energy is cheap and abundant from solar; cheaper to keep warm during winter than melt fresh. Dedicated reservoir building kept above freezing and water heated for use as need be.
:: Distribution: water reservoirs should be contiguous with building assemblies to conserve heat. Water piped through buildings, with each assembly having its own reservoir; water shared between assemblies as need be, but this should be kept to a minimum to reduce heat waste and insulation requirements for external pipelines.
:: Backup chemical heaters available for predetermined quantity of water, which is assessed based on number of personnel on-station. This is so that, in the event of a power failure, water is still available, albeit at decreased levels.
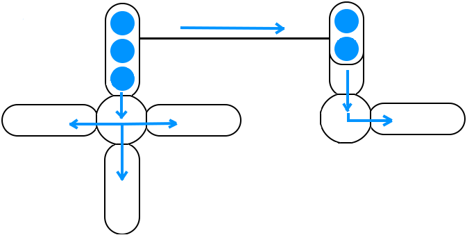
:: X-shaped pipes communicate water; see diagram in Aurora binder

Fig x Diagram of water distribution in radial assemblies
Reservoir 1 (R1) provides water to radial assembly 1 (A1). A2's reservoir is independent, but can be topped off from R1, and vice versa as needs arise. This should be kept to a minimum, as heat will be lost by transferring water through the external pipeline.
:: Water levels monitored and coordinated by central computer system. Backup tables of safe daily levels kept in reservoir habs.
Sources
Water for the station can come from a variety of sources. Early in the program, the most important source will be ice mines. Clean freshwater ice can be melted, using either solar ovens or electric heaters, and stored in the station's reservoir tanks. As infrastructure becomes more robust, other sources can be explored. Coastal desalination plants could produce fresh water from seawater, which could be transported over ice by robotic vehicles (1:1:LV), or flown using powered parachutes (1:1:A). The desalination plants would need to be solar-powered because of their remoteness, and so could only operate during the antarctic summer.
Techniques
Ice mining is relatively simple; clean ice is extracted from snow deposits near Aurora Station and melted using solar-powered electric heaters. The water can then be stored in reservoirs within insulated hab modules designated for the task. These modules would be kept heated to above water's freezing point.
Desalination is slightly more technologically complex. A plant would be set up near the coast for easy access to seawater. Getting freshwater from seawater requires energy input, so the plant would need solar arrays to power either evaporators, or marine-style watermakers. The freshwater would then be transported to Aurora over ice, using mules, or via air, using PPCs.
:: What size solar arrays? Production capacity of two techniques?
Infrastructure
Transport:
The ability to transport water from coast to inland station depends on several things: do we have long range vehicles that can make the trip regularly, while carrying heavy loads? What are the ice conditions between the desalination plant and the station? What are the wind conditions? Are there supply depots along the trail, or will the trip be made in a single run?
Transport via land vehicles can be done cheaply from an energy standpoint, but slowly, and only if ice conditions allow. Routes between station and desalination plants would have to be regularly scouted, and transports would have to stick very close to the planned route. Land vehicles would also be accompanied by robotic scouts, equipped with GPR, that lead the way and scan for crevasses. Methods of over-ice transport are discussed in a dedicated section (1:1:LV).
Air transport has a number of advantages, the most obvious being speed and safety. While a solar-powered land vehicle may need a day to complete a trip, a powered parachute, even with its modest performance, can cover the distance between Aurora and the coast in under two hours. A PPC needs, at most, 100 meters for takeoff and landing; smoothing and maintaining airstrips would be relatively easy. Equipped with skis, they could land on almost any smooth ice surface. There are limitations, however. Altitude, i.e. available oxygen, determines fuel efficiency; this limits flight range when operating inland at high altitude. And, like all aircraft, PPCs are subject to the weather. Since weather in Marie Byrd Land is notoriously erratic, air travel should not be relied on exclusively. Aircraft, and air travel, are discussed in more detail in 1:1:A.
Storage:
Water would be stored in reservoirs within dedicated hab structures.
Distribution:
Water distributed throughout hab assemblies; shared between assemblies if necessary, through insulated pipelines.
Lifecycle:
What to do with used water?